Con la diffusione sempre maggiore di carichi elettronici e di motori pilotati da inverter, i danni causati delle armoniche sono sempre più frequenti.
La tensione di rete nominale è una sinusoide a 50 Hz con valore efficace 230/400 V. Se abbiamo carichi lineari (figura 1) come ad esempio resistenze, condensatori, induttanze o loro combinazioni, la corrente assorbita sarà anch’essa sinusoidale.

Quando gli utilizzatori hanno una caratteristica non lineare, la forma d’onda della corrente non è più una sinusoide ma è una forma d’onda periodica distorta della stessa frequenza. Il matematico Fourier, nel 1822, ha dimostrato che queste forme d’onda periodiche non sinusoidali possono essere scomposte in una sommatoria di forme d’onda sinusoidali aventi frequenza multipla della frequenza di partenza (detta frequenza fondamentale) e prendono appunto il nome di armoniche (figura 2).

La forma distorta in arancione è la somma di 3 sinusoidi aventi frequenza 50 Hz (fondamentale in blu), 150 Hz (terza armonica in rosso) e 250 Hz (quinta armonica in grigio)
Grafici in funzione del tempo e in funzione della frequenza
Possiamo pensare la nostra funzione periodica distorta come la sommatoria di sinusoidi perfette di frequenza multipla della fondamentale. Possono essere rappresentate anche come un istogramma che prende il nome di spettro, dove, per ogni valore di frequenza, si visualizza il valore efficace della relativa armonica (figura 3).

Lo spettro ci mostra il valore delle componenti alle varie frequenze, corrispondenti ai grafici di figura 2 (in questo esempio
per semplicità sono presenti solo 2 armoniche)
Solitamente le armoniche più grandi sono di valore dispari in quanto le armoniche pari tendono a rendere dissimmetrica la funzione nel semiperiodo e questo non accade nella pratica impiantistica.
Finora abbiamo parlato di armoniche di corrente, che causano cadute di tensione differenti alle diverse frequenze, generando anche una distorsione della forma d’onda della tensione, vale a dire armoniche di tensione. È compito degli utenti generare poche correnti armoniche (THD ≤ 8%) per non sporcare la forma d’onda della tensione della rete pubblica.
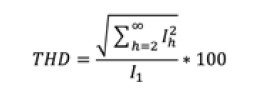
Che cos’è il THD
Il parametro che determina la quantità di armoniche nell’impianto è il THD (Total Harmonic Distortion) o distorsione armonica totale. Il THD è il rapporto, in percentuale, tra la radice quadrata della somma dei quadrati di tutti i valori efficaci delle h armoniche e il valore efficace della fondamentale.
Nell’esempio delle figure 2 e 3 abbiamo la fondamentale di 12 A, la terza armonica di 2 A e la quinta armonica di 1 A per cui il THD vale: √ (0+22+0+12) / 12*100 = √5/12*100 = 18,6%. Fortunatamente per fare questi calcoli esistono analizzatori di rete che forniscono forma d’onda, spettro e valore di THD.
Danni causati dalle armoniche
I danni causati dalle armoniche sono molteplici:
- a parità di potenza attiva circola più corrente e quindi ci sono maggiori perdite per effetto Joule nei conduttori e nei trasformatori;
- nei sistemi trifase le armoniche di corrente multiple di 3 delle fasi non si elidono anzi si sommano e causano un pericoloso aumento della corrente di neutro di cui bisogna tenere conto in fase di dimensionamento del conduttore;
- la presenza di armoniche può causare il malfunzionamento di apparecchi elettronici sensibili.
Risolvere il problema delle armoniche troppo alte non è semplice ed è meglio rivolgersi a un professionista. Il problema si può però prevenire acquistando prodotti elettronici di qualità, dotati di PFC (Power Factor Correction) e di adeguati filtri che tagliano le frequenze dannose.
